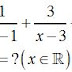
x=0 and x = 4 are obvious solutions. No other rational solutions, but there are other four real solutions.
Let x = t+4. Then we arrive to equation:t^6 + 4t^5 - 14t^4 - 56t^3 + 29t^2 + 116t = 0t(t + 4)(t^4 - 14t^2 + 29) = 0t = 0, t = -4, t = +/-sqrt(7 +/- 2sqrt(5))x = 4, t = 0, t = 4 +/-sqrt(7 +/- 2sqrt(5))
Post a Comment
2 comments:
x=0 and x = 4 are obvious solutions. No other rational solutions, but there are other four real solutions.
Let x = t+4. Then we arrive to equation:
t^6 + 4t^5 - 14t^4 - 56t^3 + 29t^2 + 116t = 0
t(t + 4)(t^4 - 14t^2 + 29) = 0
t = 0, t = -4, t = +/-sqrt(7 +/- 2sqrt(5))
x = 4, t = 0, t = 4 +/-sqrt(7 +/- 2sqrt(5))
Post a Comment